与去年同月相比,70个大中城市中,价格下降的城市有5个,比5月份增加了1个。图为中国上海浦东陆家嘴地区的楼群。
一、新建商品住宅(不含保障性住房)价格变动情况
(一)与上月相比,70个大中城市中,价格下降的城市有12个,持平的城市有14个。与5月份相比,6月份环比价格下降和持平的城市增加了6个。价格上涨的城市中,环比涨幅均未超过0.5%,涨幅比5月份缩小的城市有24个。
(二)与去年同月相比,70个大中城市中,价格下降的城市有3个,涨幅回落的城市有28个。6月份,同比涨幅在5.0%以内的城市有39个,比5月份增加了3个。
二、二手住宅价格变动情况
(一)与上月相比,70个大中城市中,价格下降的城市有19个,持平的城市有12个。价格上涨的城市中,环比价格涨幅均未超过1.0%,涨幅在0.5%以内的城市有36个。
(二)与去年同月相比,70个大中城市中,价格下降的城市有5个,比5月份增加了1个。涨幅回落的城市有24个。6月份,同比涨幅在5.0%以内的城市有48个。
说明:
1、从2011年1月份起,国家统计局开始实施《住宅销售价格统计调查方案》(以下简称《新方案》)。由于《新方案》对数据来源渠道、指标设置、计算方法等影响价格指数计算的主要因素都进行了相当大的调整,因此今年前11个月数据与以往历史数据不完全可比。
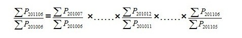
2、同比价格指数的计算方法。鉴于网签数据从2010年12月份起开始上报,前11个月的网签数据缺失,故不能计算今年1-11月份各月与网签数据同一口径的同比价格指数。为保持同比价格指数计算和发布的连续性和稳定性,满足有关方面的需要,国家统计局采用2010年的有关房价统计数据和2011年按网签数据计算的房价数据,根据同比指数和环比指数之间的数学关系,对6月份同比价格指数的计算进行了技术处理:将2010年7-12月份(6个月)的环比数据连乘,再乘以2011年前6个月的环比数据生成本月同比价格指数。以此类推可计算其他月份的同比价格指数。计算公式表示为:

其中:P201006……P201012分别表示2010年6-12月份各月价格,P201101……P201106分别表示2011年1-6月份各月价格。
3、2011年6月份,62个城市的新建住宅价格指数根据网签数据计算,其他8个城市根据统计系统房地产开发统计报表中各个项目的分类销售面积和金额数据计算。62个网签数据城市分别是:北京、天津、石家庄、太原、呼和浩特、沈阳、大连、长春、哈尔滨、上海、南京、杭州、宁波、合肥、福州、厦门、南昌、济南、青岛、郑州、武汉、长沙、广州、深圳、南宁、海口、重庆、成都、贵阳、昆明、西安、兰州、西宁、银川、乌鲁木齐、秦皇岛、包头、丹东、吉林、牡丹江、无锡、扬州、徐州、温州、金华、安庆、泉州、九江、济宁、洛阳、平顶山、宜昌、岳阳、常德、惠州、湛江、韶关、桂林、北海、三亚、泸州、南充。6月份新增加的城市是安庆、济宁和常德。
4、新建住宅含保障性住房;新建商品住宅不含保障性住房。
5、表格中“——”表示本月无成交记录。

设为首页
加入收藏
网站投稿
繁体



